4분 읽기
- 항생제는 단 한 번의 복용 후에도 최대 8년 동안 장내 미생물 구성 변화시켜
- 장내 미생물총의 불균형은 당뇨병, 비만, 심혈관 질환, 파킨슨병 유발하는 것으로 의심
- 항생제가 장기적으로 비만, 대장암, 당뇨병의 위험을 증가시키는 이유를 설명할 수 있다
- 모든 항생제가 동일하지 않아, 장내 미생물총에 미치는 손상이 적은 항생제 선택가능
항생제는 장기적인 영향을 미친다.
항생제 복용 후 4~8년 동안 장내 미생물총의 변화가 감지될 수 있다.
과소평가된 장기적 영향:
장기 연구에 따르면 항생제는 이전에 생각했던 것보다 훨씬 오랫동안 장내 미생물총에 손상을 입힌다. 항생제는 단 한 번의 복용 후에도 최대 8년 동안 장내 미생물 구성에 감지 가능한 변화를 남긴다. "네이처 메디신(Nature Medicine)"에 발표된 연구진의 설명에 따르면, 이는 항생제가 장기적으로 비만, 대장암, 당뇨병의 위험을 증가시키는 이유를 설명할 수 있다. 그러나 모든 항생제의 장기적인 영향이 동일한 것은 아니다.
 |
| ▲ 항생제는 세균 감염 치료에 중요한 도구입니다. 하지만 장내 미생물총에도 악영향을 미친다. © MJ_Prototype/ Getty Images |
장내 세균은 단순히 소화를 돕는 역할만 하는 것이 아니다. 장내 미생물총의 구성은 면역 체계, 신진대사, 식욕, 심지어 뇌에도 영향을 미친다. 장내 미생물총의 불균형은 당뇨병, 비만, 심혈관 질환, 파킨슨병을 유발하는 것으로 의심된다.
항생제는 장기적인 영향을 미칠까?그렇다면 항생제는 이러한 맥락에서 어떤 역할을 할까? 항생제는 소화관에 있는 많은 유익한 미생물도 죽이는 것으로 알려져 있다. 항생제 치료 직후 장내 세균의 다양성과 양이 급격히 감소하는 현상이 나타났다. 그러나 이러한 후유증이 얼마나 오래 지속되는지, 그리고 장내 미생물총이 얼마나 빨리 회복되는지는 이전에는 명확하지 않았다.
스웨덴 웁살라 대학교의 가브리엘 발단지(Gabriel Baldanzi)연구팀은 장기 연구를 통해 이러한 질문에 대한 해답을 찾고자 했다. 연구팀은 스웨덴 거주자 약 1만5천 명의 건강 상태와 항생제 사용 데이터를 8년간 분석했다. 또한, 참가자들의 대변 샘플을 채취해 장내 미생물총의 구성을 분석했다.
8년 후에도 지속되는 미생물총 변화분석 결과, 대변샘플 채취 1년 이내에 항생제를 투여받은 참가자는 장내 미생물총에 변화가 나타나는 것으로 확인됐다. 발단지 연구팀은 "조사 대상 11개 항생제 계열 중 6개 계열에서 적어도 한 가지 측면에서 생물 다양성 감소가 관찰되었다"고 밝혔다. 연구 데이터에 따르면, 항생제 치료 후 장내 미생물총은 초기에는 빠르게 회복되지만, 완전히 회복되지는 않았다.
항생제를 4~8년 전에 복용한 피험자들을 대상으로 한 실험에서도 이러한 결과가 확인됐다. 이들의 장내 세균 종의 10~15%는 여전히 빈도와 다양성에 변화가 있는 것으로 나타났다. 발단지는 "8년 전에 받은 치료조차도 장내 미생물 구성에 영향을 미칠 수 있다는 것을 알게 되었다"며, "특정 항생제를 한 번만 복용해도 장기적인 흔적이 남을 수 있다"고 보고했다.
 |
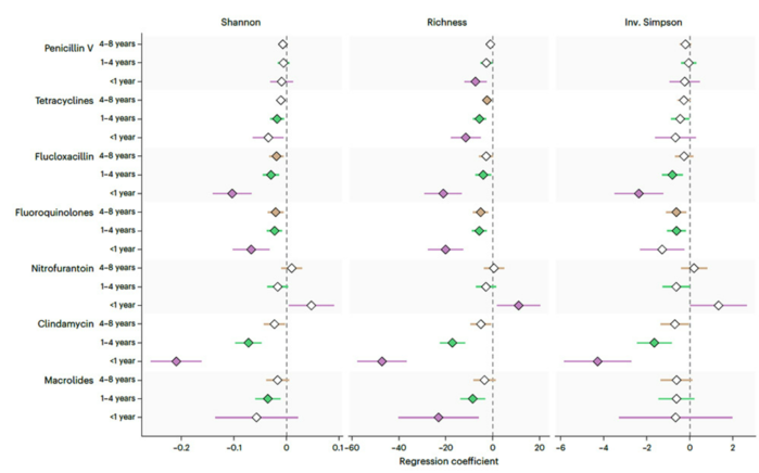
| ▲ 다양한 항생제가 장내 미생물 다양성의 세 가지 매개변수에 미치는 영향. 색깔과 채워진 기호는 통계적으로 유의미한 차이를 나타낸다. © Baldanzi et al./, Nature Medicine, CC-by 4.0 |
모든 항생제가 그런 것은 아니다.하지만 항생제 종류에 따라 상당한 차이가 있다. 비교적 자주 처방되는 페니실린 V(Penicillin V), 아목시실린(Amoxicillin), 설파메톡사졸(Sulfamethoxazol), 트리메토프림(Trimethoprim)은 장내 미생물에 장기적인 흔적을 거의 남기지 않았다. 그러나 클린다마이신(Clindamycin), 플루클록사실린(Flucloxacillin), 플루오로퀴놀론(Fluoroquinolone) 계열 항생제는 달랐다. 이 항생제들을 복용한 경우, 4~8년 후에도 장내 미생물 구성에 상당한 변화가 여전히 감지됐다. 자주 사용되는 테트라사이클린(Tetracyclin) 계열 항생제 또한 정도는 약하지만, 후유증을 보였다.
"협대역(narrowband) 항생제인 플루클록사실린(Flucloxacilline)이 장내 미생물에 미치는 강력한 영향은 예상치 못한 결과였다"고 웁살라 대학교의 수석 저자 토베 팔(Tove Fall)은 말했다. 이 약물은 황색포도상구균과 같은 포도상구균에 특이적으로 효과적일 뿐만 아니라 탄저병 병원균인 바실러스 안트라시스(Bacillus anthracis), 임질 및 세균성 뇌수막염 병원균인 네이세리아(Neisseria)속, 그리고 리스테리아(Listerien)과 클로스트리디움(Clostridien)에도 효과적이다. 왜 이 특정 항생제가 장내 미생물에 그토록 큰 영향을 미치는지는 아직 명확히 밝혀지지 않았다.
항생제의 영향이 중요한 이유분석 결과, 장내 미생물의 변화는 비만, 高콜레스테롤, 염증성 장 질환 및 제2형 당뇨병의 잠재적 원인균으로 여겨지는 일부 세균 집단의 증식을 촉진하는 것으로 나타났다. 연구팀은 항생제 치료 후 이러한 세균 집단의 비율이 증가했다고 보고했다. 반대로, 일부 유익한 세균 집단의 다양성과 수는 감소했다.
이번 연구 결과는 항생제가 장내 미생물총에 미치는 장기적인 영향을 더 정확하게 평가하고, 향후 항생제 사용을 더욱 효과적으로 조절하는 데 기여할 수 있다. 폴 박사는 "예를 들어, 효능이 동일한 두 가지 항생제가 있을 때 이번 연구 결과가 유용하게 활용될 수 있다"고 말했다. 새로운 정보를 바탕으로, 장내 미생물총에 미치는 손상이 적은 항생제를 선택할 수 있게 되는 것이다.
발단지 연구팀은 항생제의 장기적인 영향에 대해 기존에는 거의 알려지지 않았던 부분들을 더욱 자세히 연구하고 있다. 폴 교수는 "이를 통해 어떤 장내 세균이 특히 취약한지, 그리고 회복하는 데 얼마나 걸리는지 더 잘 이해할 수 있을 것"이라고 말했다.
참고: Nature Medicine, 2026; doi: 10.1038/s41591-026-04284-y)
출처: Nature Medicine, Uppsala University
[더사이언스플러스=문광주 기자]
[저작권자ⓒ the SCIENCE plus. 무단전재-재배포 금지]