애정 호르몬 옥시토신, 상처 치유 촉진

문광주 기자 / 기사승인 : 2025-12-22 11:56:45
  • -
  • +
  • 인쇄
3분 읽기
- 테스트: 80쌍의 커플 대상으로 1주일 동안 옥시토신 또는 위약을 비강 스프레이로 투여
- 호르몬 수치 상승과 더불어 신체적, 정서적 친밀감이 동반될 때만 나타난다.
- 각각 단독으로는 효과 없어

옥시토신, 상처 치유 촉진
친밀감과 애정 호르몬의 조합, 치유 효과 극대화


사랑으로 치유가 가능할까? 피부 표면의 상처는 애정 호르몬인 옥시토신이 체내에 분비될 때 더 빨리 아문다고 한다. 하지만 한 연구에 따르면, 이러한 효과는 호르몬 수치 상승과 더불어 신체적, 정서적 친밀감이 동반될 때만 나타난다. 연구진은 애정 어린 관심과 옥시토신이 함께 작용하여 상처 치유를 촉진하지만, 각각 단독으로는 효과가 없다고 밝혔다. 

▲ 실험 대상자들은 파트너와 애정 어린 교감을 나눌 때 표면적인 피부 손상이 더 빨리 치유되는 것으로 나타났다. pixabay


우리가 다른 사람과 애정 어린 교감을 나눌 때, 뇌는 애정 호르몬인 옥시토신을 생성해 혈액으로 분비한다. 옥시토신은 긴장을 완화하고 사회적 유대감과 신뢰를 쌓는 데 도움을 준다. 또한 스트레스 호르몬 수치를 낮추고 통증을 완화하는 효과도 있다. 동물 연구에서도 옥시토신이 상처 치유를 촉진한다는 결과가 나왔다. 그렇다면 이것이 인간에게도 적용될까?

건강을 위한 포옹

하이델베르크 대학교의 예카테리나 슈나이더(Ekaterina Schneider) 연구팀은 이 질문에 대한 답을 찾기 위해 연구를 진행했다. 연구진은 80쌍의 커플을 대상으로 1주일 동안 옥시토신 또는 위약을 비강 스프레이로 투여했다. 또한, 커플 중 절반에게는 매일 서로에게 감사하는 대화를 나누고 신체적 애정을 표현하도록 지시했다.

▲ 옥시토신은 상처 치유를 돕는다.


연구 시작 시, 모든 참가자의 피부에 작고 얕은 상처를 냈다. 24시간 후와 7일 후에 상처가 얼마나 잘 아물었는지 평가했다. 참가자와 상처 치유 과정을 평가한 사람 모두 특정인이 옥시토신 그룹에 속하는지 위약 그룹에 속하는지 알지 못했다.


옥시토신은 상처 치유를 촉진한다.

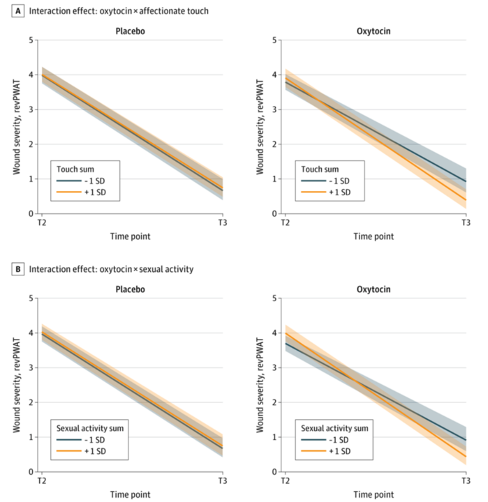
결과에 따르면, 옥시토신을 투여받고 파트너와 매일 애정 어린 스킨십을 한 참가자들의 상처가 가장 잘 아물었다. "포옹 호르몬"의 효과는 특히 규칙적으로 친밀한 애정을 나누고 성생활도 활발한 커플에게서 두드러지게 나타났다. 타액 분석 결과, 이러한 참가자들은 스트레스 호르몬인 코르티솔 수치가 현저히 낮은 것으로 나타났다.
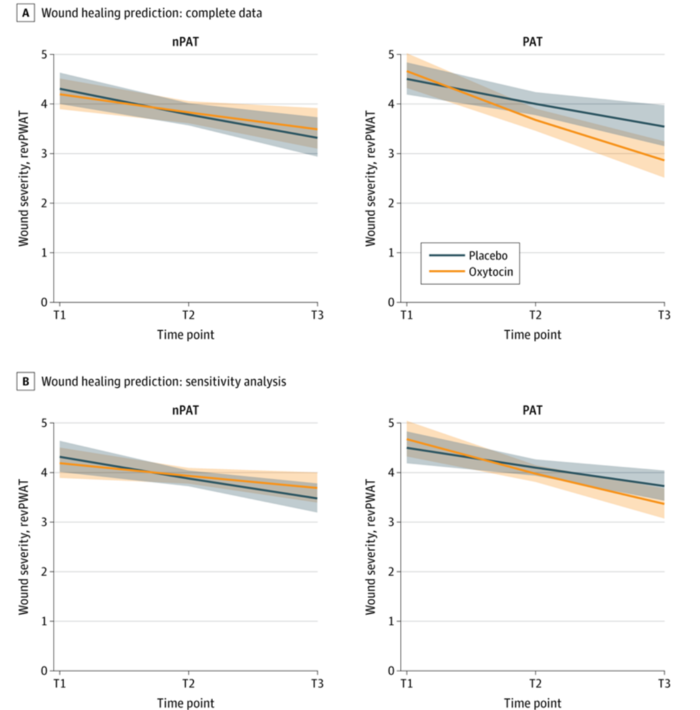
▲ 옥시토신 투여와 파트너 감사 과제(PAT:Partner Appreciation Task)를 통한 상처 치유 예측. A. 옥시토신과 PAT의 상호작용 효과가 1~3시점에 걸쳐 상처 치유 점수를 예측하는 데 미치는 영향. B. 영향력이 큰 두 사례를 제외한 후의 동일 모델. T1은 상처 발생 1시간, T2는 상처 발생 24시간, T3는 상처 발생 7일 후를 나타낸다. nPAT는 아무런 지시를 받지 않은 그룹을, revPWAT는 수정된 사진 상처 평가 도구를 의미한다. (출처: Intranasal Oxytocin and Physical Intimacy for Dermatological Wound Healing and Neuroendocrine Stress A Randomized Clinical Trial / JAMA Psychiatry Published Online: November 12, 2025 doi: 10.1001/jamapsychiatry.2025.3705)
▲ 옥시토신 투여와 신체적 친밀감이 상처 치유에 미치는 영향 A, 옥시토신과 애정 어린 접촉 간의 상호작용 효과. B, 옥시토신과 성행위 간의 상호작용 효과(-1 표준편차는 빨간색, +1 표준편차는 파란색). 두 패널 모두 상처 발생 24시간 후(T2)와 7일 후(T3) 사이의 상처 치유를 예측하는 모델을 나타낸다. (출처: Intranasal Oxytocin and Physical Intimacy for Dermatological Wound Healing and Neuroendocrine Stress A Randomized Clinical Trial / JAMA Psychiatry Published Online: November 12, 2025 doi: 10.1001/jamapsychiatry.2025.3705)

"이번 연구는 행동과 호르몬 시스템이 얼마나 밀접하게 연관되어 있는지, 그리고 이러한 상호작용이 친밀하고 애정 어린 관계에서 신체 건강에 얼마나 큰 영향을 미칠 수 있는지를 보여준다"고 하이델베르크 대학교의 공동 저자 베아테 디첸(Beate Ditzen)은 말했다. 연구에 따르면 옥시토신은 애정과 함께 작용하여 가벼운 상처의 치유를 촉진할 수 있다.

포옹 호르몬과 사랑은 함께 작용할 때만 효과적

하지만 옥시토신이나 애정 어린 행동은 단독으로는 적합한 치료법이 아니다. 옥시토신 단독 또는 옥시토신 분비 없이 애정 어린 대화만으로는 상처 치유에 뚜렷한 효과가 나타나지 않았다. 연구진은 "이번 연구 결과는 옥시토신이 독립적인 치료제라기보다는 사회적 강화제로서 작용한다는 견해를 뒷받침한다"고 설명했다.

친밀감과 옥시토신이 임상 환경에서 건강 증진에 어느 정도 효과가 있는지 더 자세히 알아보기 위해서는 더 많은 참가자를 대상으로 한 대규모 연구가 필요하다.

참고: JAMA Psychiatry, 2025; doi: 10.1001/jamapsychiatry.2025.3705
출처: 하이델베르크 대학교 병원

[더사이언스플러스=문광주 기자]

[저작권자ⓒ the SCIENCE plus. 무단전재-재배포 금지]

  • 글자크기
  • +
  • -
  • 인쇄
뉴스댓글 >

주요기사

+

많이 본 기사

Basic Science

+

AI & Tech

+

Photos

+